AT Command
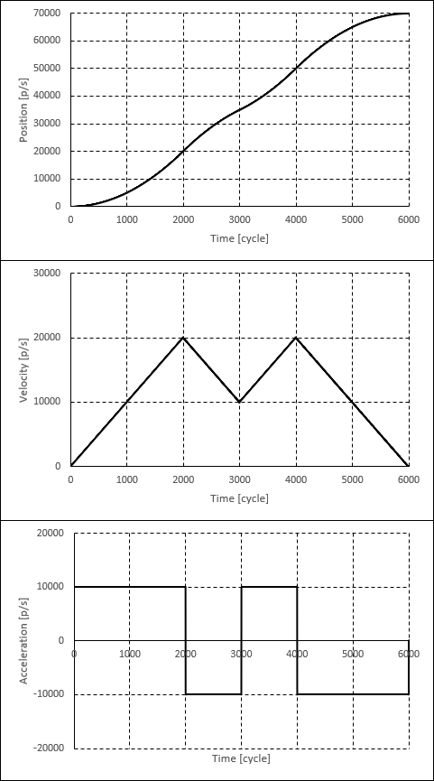
Neither the position or velocity of each point is specified when executing an AT command, but the acceleration is specified instead. The velocity is continuous throughout the entire motion.
AT Command Example
The following code executes an AT command.
Motion::ATCommand at;
at.axis = 0;
at.pointCount = 7;
//Define point data
at.points[0].acc = 0;
at.points[0].timeMilliseconds = 0;
at.points[1].acc = 10000;
at.points[1].timeMilliseconds = 1000;
at.points[2].acc = 10000;
at.points[2].timeMilliseconds = 2000;
at.points[3].acc = -10000;
at.points[3].timeMilliseconds = 3000;
at.points[4].acc = 10000;
at.points[4].timeMilliseconds = 4000;
at.points[5].acc = -10000;
at.points[5].timeMilliseconds = 5000;
at.points[6].acc = -10000;
at.points[6].timeMilliseconds = 6000;
//Start AT motion
wmxlib_CoreMotion->motion->StartAT(&at);
The following plots show the position, velocity, and acceleration when the above code is executed.
